多效唑是一种植物生长调节剂,具有延缓植物生长,抑制茎杆伸长,缩短节间、促进植物分蘖、增加植物抗逆性能,提高产量等效果。
多效唑主要剂型有可湿性粉剂、悬浮剂、以及原粉。
1、基本信息
中文名:多效唑
英文名:Paclobutrazol
1、 英文通用名称:Paclobutrazol




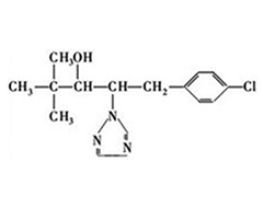
2、 化学结构式:
3、 其它名称:PP333,氯丁唑
4、 化学名称:(2RS,3RS)-1-(4-氯苯基)-4,4-二甲基-2-(1H-1,2,4-三唑-1-基)戊-3-醇
5、分子量:293.79
6、CAS号:76738-62-0
熔点:165-166℃,
蒸气压:0.001mPa(20℃),
密度:1.22g/ml, KowlogP=3.2,
溶解度:水26mg/L(20℃),丙酮110,环己酮180,二氯甲烷100, 己烷10,二甲苯60,甲醇150,丙二醇50(g/L,20℃),
稳定性:20℃保存2年以上, 50℃以上保存6个月, pH4-9不水解,紫外光下不分解(pH7,10天)
3、详细介绍
多效唑是80年代研制成功的三唑类植物生长调节剂,是内源赤霉素合成的抑制剂。 也可提高水稻吲哚乙酸氧化酶的活性,降低稻苗内源IAA的水平。明显减弱稻 苗顶端生长优势,促进侧芽(分蘖)滋生。秧苗外观表现矮壮多蘖,叶色浓绿。 根系发达。解剖学研究表明,多效唑可使稻苗根、叶鞘、叶的细胞变小,各 器官的细胞层数增加。示踪分析表明,水稻种子、叶、根部都能吸收多效唑。叶片吸收的多效唑大部分滞留在吸收部分,很少向外运输。多效唑低浓度增 进稻苗叶片的光合效率;高浓度抑制光合效率。提高根系呼吸强度;降低地 上部分呼吸强度,提高叶片气孔抗阻,降低叶面蒸腾作用。
多效唑的农业应用价值在于它对作物生长的控制效应。具有延缓植物生长,抑制茎杆伸长,缩短节间、促进植物分蘖、促进花芽分化,增加植物抗逆性能,提高产量等效果。本品适用于水稻、麦类、花生、果树、烟草、油菜、大豆、花卉、草坪等作(植)物,使用效果显著。
但是,多效唑在土壤中残留时间较长,常温(20°C)储存稳定期在两年以上,如果多效唑使用或处理不当,即使来年在该基地上种植出口蔬菜也极易造成药物残留超标折叠
三麦玉米 浸种宜浅播 播种前浸10-12小时 每公斤加1.5克药浸3-4小时搅一次
麦苗一叶一心期,小麦起身至拨节前 一叶一拨节前 20克药兑水15公斤 40克药兑水50公斤喷施
油菜培育短脚壮苗 苗床肥水水平高,播种早,密度大的苗床 3-4叶期 40克药兑水50公斤喷施
花生、棉花 盛花期 亩用量50克药 兑水50公斤喷施
水稻培育壮秧防止倒伏 秧龄在35天左右,单季中,晚稻秧田 移栽前25天 亩用175-200克兑水100公斤喷施
高产田块局部旺长高杆易倒伏品种 抽穗前30-40天 亩用150-175克兑水100公斤喷施
苹果 秋季枝展下 每株15-20克药土篱
新梢长至5-10厘米 兑500-700倍水液隔 10天喷一次,共三次
梨 新梢长至5-10厘米 兑500-700倍水液隔10天喷一次,共三次
桃、山楂 秋季或春季枝展下 每株10-15克药土施
大豆、马铃薯 花期 亩用量60克药兑水50公斤喷施
柑桔 夏梢期 150倍兑水液叶面喷篱
樱桃 每株4-6克土施,喷150-300倍兑水液
芒果 5月上旬 每株15-20药兑水15-20公斤,开环形沟施
烟草 5-7叶期 亩用量60克兑水50公斤喷施
荔枝 11月中旬 叶面喷施750倍兑水液
剂型:95%多效唑原药、10%多效唑可湿性粉剂、15%多效唑可湿性粉剂,25%多效唑悬浮剂